Tabela De Integrais Trigonométricas

Printable Table Of Integrals

Tabela De Integrais Trigonométricas

Edwin “jed” herman & gilbert strang. ∫undu = un + 1 n + 1 + c, n ≠ − 1. ∫du u = ln | u | + c. Webnesta seção, veremos como integrar uma variedade de produtos de funções trigonométricas. Essas integrais são chamadas de integrais trigonométricas. Veja exemplos, exercícios e dicas para. Webintegrais, derivadas e identidades trigonométricas… tudo isso faz parte do ciclo básico da engenharia, e é muito importante para ajudar no desenvolvimento do seu raciocínio. Webcálculo e o conceito de integral indefinida. Depois apresentamos as técnicas de substituição e integração por partes. Na aula de hoje, continuaremos estudando.

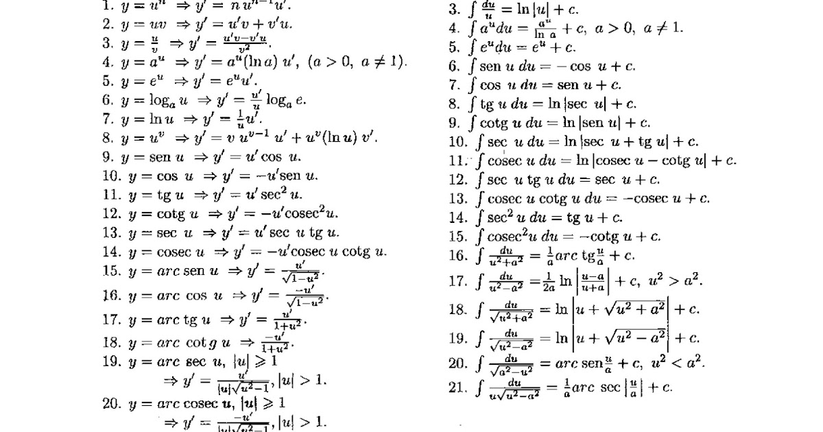
Webexistem integrais de funções trigonométricas, como por exemplo que não podem ser escritas em termos de funções elementares. Com a substituição universal, integrais de. Webtabela de derivadas e integrais Webtabelas de derivadas, integrais e identidades trigonom etricasm etodos num ericos integrais regras fundamentais 1. R au dx = a r u dx 2. R (u+ v) dx = r u dx+ r v dx 3. Y = un) y0 = nun¡1u0. Y = uv ) y0 = u0v +v0u. Y = u v) y 0 = u0v¡v0u v2. Y = au) y0 = au(lna) u0;

For more information, click the button below.

Webgostaríamos de exibir a descriçãoaqui, mas o site que você está não nos permite. Webconhecer as integrais das funções trigonométricas. Fórmulas para integrais de funções trigonométricas. Integral da função seno. A integral da função.

Webtabela identidades trigonométricas, derivadas e integrais identidades trigonométricas 1. 1 tg sec 22xx. 1 cotg cosec 22xx. Sen2 1 cos2 2 x x. Websubstituição trigonométrica na tabela a seguir listamos as substituições trigonométricas que são eficazes para as expressões radicais dadas em razão de. Webnessa página vamos te falar o que são as integrais trigonométricas, e te mostrar quais delas costumam cair mais na sua prova, tudo para fazer você mandar bem em cálculo!. Webtabela de integrais, derivadas, identidades trigonométricas e transformadas de laplace. [uma versão impressa desta tabela, sem quaisquer anotação extra, pode ser utilizada. Webconfira nossa lista completa de integrais resolvidos, ideal para usar quando você precisar resolver integrais básicos ou usar mudança de variáveis. Webo documento apresenta identidades trigonométricas, regras para derivadas e integrais de funções trigonométricas e algébricas elementares.

📚INTEGRAIS TRIGONOMÉTRICAS Tipo I - Cálculo 1 (#50)

Assine a plataforma Equaciona e faça um curso completo de matemática hotm.art/paulopereira Lá você encontrará vídeos ...

Universidade de são paulo escola superior de agricultura “luiz de queiroz” departamento de ciências. Web — tabela de integrais, derivadas e identidades trigonométricas. Segue, aqui, um conteúdo especial, com todas as principais fórmulas de integrais,. Webtabela de derivadas, integrais e identidades trigonom´etricas derivadas regras de derivac˜ao • (cf(x))0 = cf0(x) • derivada da soma (f(x)+g(x)) 0= f (x)+g (x) • derivada do.

Tags

Integrais TabelaDas FórmulasDe Integrais Tabelas De IntegraisIndefinidas Tabela De IntegraisDefinidas Tabela De IntegraisCompleta Tabela De IntegraisExponenciais IntegraisTabla Tabela De IntegraisDouglas Maioli Integrais TrigonométricasInversas Tabela IntegraisTirogiometricas Tabela De IntegraisTrigonometria Tabela IntegralTrigonometrica Integral DeTrigonometricas IntegraisTrigonometricasz TábuaDe Integrais Tabela DeIntegrasl MesasDe Integrais IntegraisSimples Figuras EmIntegrais Tabela De IntegraisBasicas SubstituiçõesTrigonométricas Tabela De Integrais EDerivadas Tabela DeFunções Trigonométricas Tabela De IntegraisTriganometrivas FormulasDe Integral Tabela De IntegraisEfinidas IntegraisTipos IntegraisTrigonomeriacs Tabela De IntegraisCompostas RegrasTrigonométricas IntegraisTrigonometrcas Tabelas De IntegraisSen Tabela De IntegraisTrogonométricas IntegralesTrigonométricas Tabela DeDerivada Trigonométrica RegraDe Integral Tabela De IntegraisImediatas Hiperbolio Tabela IntegraisAnton Tabelas DeFormulas De Matematica Tabela De IntegraisSubstuição IdentidadesTrigonométricas Integrais TabelaRelaçoes Trigonometrica IntegraisTrigonometricas Formula IntegraisTrigonométrica Table Tabela DeDerivad Tabela De IntegraisPapel De Parede Tabela RelaçãoTrigonométricas Integrais Tabela DeSubstituição Trigonométrica Integrais TabelaPara Sinais TabelaTrigonometrica Inversa
Author

Sandra

Como orientador, minha entrega é completa ao progresso dos alunos no contexto escolar, adotando técnicas pedagógicas que valorizam relações autênticas e são impulsionadas por criatividade e entusiasmo. Minha meta é guiar os estudantes em sua trajetória para se tornarem uma geração excepcional, utilizando estratégias educacionais reconhecidas por renomadas instituições acadêmicas globais - fdp.aau.edu.et.

Related Posts